Mật độ xây dựng là gì? Quy định và cách tính chuẩn xác nhất 2026
Cập nhật ngày: 05/12/2025 bởi Nguyễn Duy Tuấn
Khi bắt đầu lên kế hoạch xây dựng tổ ấm, rất nhiều gia chủ tại TP.HCM và các tỉnh lân cận gặp phải thuật ngữ "mật độ xây dựng" trong giấy phép quy hoạch. Đây là một trong những chỉ số pháp lý quan trọng nhất, quyết định trực tiếp đến việc ngôi nhà của bạn được phép xây rộng bao nhiêu mét vuông trên lô đất đã mua.
Việc hiểu sai hoặc cố tình vi phạm mật độ xây dựng không chỉ khiến công trình bị đình chỉ, phạt hành chính mà còn buộc phải tháo dỡ phần vi phạm, gây thiệt hại lớn về tài chính. Với kinh nghiệm nhiều năm trong lĩnh vực thiết kế và thi công, Xây Dựng Kim Anh sẽ giúp bạn giải mã chi tiết về khái niệm này, cập nhật các quy định mới nhất theo QCVN 01:2021/BXD và hướng dẫn cách tính toán chuẩn xác để đảm bảo quyền lợi pháp lý cho ngôi nhà của bạn.
Phụ lục bài viết

Mật độ xây dựng là gì?
Theo Quy chuẩn kỹ thuật quốc gia về Quy hoạch xây dựng (QCVN 01:2021/BXD), mật độ xây dựng được định nghĩa là tỷ lệ diện tích chiếm đất của các công trình kiến trúc xây dựng trên tổng diện tích lô đất (không bao gồm diện tích chiếm đất của các công trình như: bể bơi, sân thể thao ngoài trời, tiểu cảnh trang trí, bể cảnh...).
Hiểu một cách đơn giản, nếu bạn có một mảnh đất 100m², bạn không được phép xây dựng kín hết 100m² đó (trừ một số trường hợp đặc biệt). Phần diện tích chừa lại đóng vai trò là khoảng lùi, sân vườn, không gian thông thoáng để đảm bảo mật độ cây xanh, khả năng thoát nước và mỹ quan đô thị.
Mục đích cốt lõi của quy định về mật độ xây dựng là:
-
Cân bằng hệ sinh thái: Đảm bảo tỷ lệ cây xanh và mặt nước trong đô thị.
-
Môi trường sống: Tạo không gian thoáng đãng, đảm bảo ánh sáng và gió tự nhiên cho từng ngôi nhà.
-
Hạ tầng kỹ thuật: Giảm tải áp lực lên hệ thống giao thông và thoát nước của khu vực.
Phân loại mật độ xây dựng theo quy chuẩn
Trong các văn bản pháp luật và hồ sơ xin giấy phép xây dựng, bạn sẽ gặp hai thuật ngữ chính. Việc phân biệt rõ ràng hai loại này là cực kỳ quan trọng để tránh nhầm lẫn khi tính toán.
1. Mật độ xây dựng thuần
Đây là chỉ số quan trọng nhất đối với mật độ xây dựng nhà ở riêng lẻ. Nó là tỷ lệ diện tích chiếm đất của các công trình kiến trúc chính trên diện tích lô đất.
-
Bao gồm: Diện tích móng/sàn tầng 1 của ngôi nhà.
-
Không bao gồm: Diện tích của các công trình ngoài trời như tiểu cảnh, bể bơi, bãi đỗ xe, sân thể thao, nhà bảo vệ (trừ khi được xây kiên cố và có mái che chiếm diện tích lớn).
2. Mật độ xây dựng gộp
Chỉ số này thường áp dụng cho các dự án quy hoạch khu đô thị quy mô lớn. Nó là tỷ lệ diện tích chiếm đất của các công trình kiến trúc trên toàn bộ diện tích khu đất (diện tích toàn khu).
-
Phạm vi: Bao gồm cả sân đường, các khu cây xanh, không gian mở và các khu vực không xây dựng công trình trong khu đất đó.
Ví dụ minh họa: Một khu đô thị rộng 10.000m², trong đó diện tích xây dựng nhà ở là 4.000m², diện tích đường xá và công viên là 6.000m².
Mật độ xây dựng gộp của dự án là 40%.
Tuy nhiên, xét riêng một lô đất 100m² trong dự án đó, chủ nhà xây 80m² thì mật độ xây dựng thuần của lô đất đó là 80%.

Công thức tính mật độ xây dựng chuẩn xác
Để biết chính xác bạn được xây bao nhiêu mét vuông, hãy áp dụng công thức cơ bản sau đây. Đây cũng là công thức mà các kiến trúc sư tại Xây Dựng Kim Anh sử dụng khi tư vấn dịch vụ xây nhà trọn gói cho khách hàng.
Công thức cơ bản

Trong đó:
-
Diện tích chiếm đất của công trình: Là diện tích tính theo hình chiếu bằng của công trình (thường là diện tích tầng trệt). Lưu ý: Không tính các bộ phận như sê-nô, mái đua, bậc tam cấp, ô văng...
-
Tổng diện tích lô đất: Là diện tích ghi trong sổ đỏ (Giấy chứng nhận quyền sử dụng đất).
Ví dụ thực tế: Bạn sở hữu lô đất có diện tích 120m². Sở Quy hoạch - Kiến trúc quy định mật độ tối đa là 80%.
-
Diện tích đất được phép xây dựng = 120 x 80% = 96m2.
-
Phần đất còn lại (24m²) bắt buộc phải dùng làm sân vườn, thông tầng hoặc lối đi.
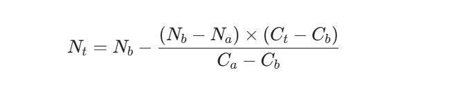
Phương pháp nội suy để tính mật độ
Trong thực tế, diện tích lô đất của bạn thường là các con số lẻ (ví dụ 92m², 105m²), không nằm tròn trịa trong các mốc quy định (50m², 75m², 100m²...). Lúc này, chúng ta phải sử dụng phương pháp nội suy để tính ra mật độ xây dựng chính xác.
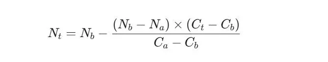
Công thức nội suy:

Giải thích ký hiệu:
-
Nt: Mật độ xây dựng cần tính.
-
Ct: Diện tích lô đất cần tính.
-
Ca: Diện tích giới hạn trên (mốc diện tích lớn hơn gần nhất).
-
Cb: Diện tích giới hạn dưới (mốc diện tích nhỏ hơn gần nhất).
-
Na: Mật độ quy định tương ứng với Ca.
-
Nb: Mật độ quy định tương ứng với Cb.
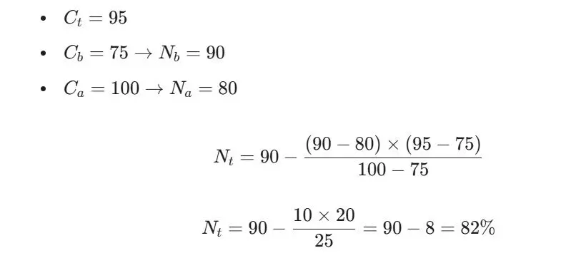
Ví dụ tính toán chi tiết: Giả sử bạn có lô đất 95m² tại quận nội thành.
-
Theo quy định: Lô 75m² được xây 90%; Lô 100m² được xây 80%.
-
Áp dụng công thức:

Như vậy, lô đất 95m² của bạn có mật độ xây dựng tối đa là 82%.
Mẹo từ chuyên gia: Bạn có thể sử dụng hàm
FORECASTtrong Excel để tính nhanh con số này mà không cần bấm máy tính thủ công.

Quy định mật độ xây dựng mới nhất theo QCVN 01:2021/BXD
Dưới đây là bảng tra cứu nhanh mật độ xây dựng thuần tối đa cho các công trình nhà ở riêng lẻ (biệt thự, nhà liền kề, nhà độc lập) và các công trình khác.
1. Đối với nhà ở riêng lẻ
| Diện tích lô đất (m²) | Mật độ xây dựng tối đa (%) |
| ≤50 | 100 |
| 75 | 90 |
| 100 | 80 |
| 200 | 70 |
| 300 | 60 |
| 500 | 50 |
| ≥1.000 | 40 |
Lưu ý:
-
Quy định trên áp dụng cho nhà ở riêng lẻ tại các khu đô thị.
-
Hệ số sử dụng đất tối đa cho phép là 7 lần.
-
Các lô đất có diện tích nằm giữa các mức trên sẽ dùng phương pháp nội3 suy đã hướng dẫn ở phần trước.
2. Đối với chung cư và công trình dịch vụ
-
Chung cư: Mật độ dao động từ 35-75% tùy thuộc vào diện tích lô đất và chiều cao công trình. Hệ số sử dụng đất tối đa là 13 lần.
-
Dịch vụ - Công cộng: Mật độ tối đa thường là 40% để đảm bảo không gian công cộng.
-
Thương mại - Hỗn hợp: Mật độ từ 40-80% tùy quy mô, yêu cầu khoảng lùi lớn hơn so với nhà ở.
Quy định mật độ xây dựng tại TP.HCM (Quyết định 45)
Tại TP.HCM, do đặc thù mật độ dân cư cao, UBND Thành phố đã ban hành Quyết định 45/2009/QĐ-UBND (vẫn còn hiệu lực áp dụng song song và bổ sung chi tiết cho QCVN) để điều chỉnh phù hợp từng khu vực. Xây Dựng Kim Anh tóm tắt các điểm chính bạn cần nhớ:
Phân chia khu vực áp dụng
-
Quận nội thành trung tâm: Q1, Q3, Q4, Q5, Q10, Phú Nhuận, Bình Thạnh.
-
Quận nội thành: Q2, Q6, Q7, Q8, Q11, Tân Bình, Tân Phú, Gò Vấp.
-
Quận ngoại thành và huyện: Q9, Q12, Thủ Đức, Bình Tân, Hóc Môn, Bình Chánh, Nhà Bè, Củ Chi.
Các quy định ưu tiên
-
Lô đất nhỏ (<50m²): Tại các quận nội thành, vẫn có thể được xem xét cho phép xây dựng 100% nếu đảm bảo các điều kiện về thông gió và chiếu sáng (thường yêu cầu chừa ô thông tầng).
-
Lô đất tiếp giáp 2 đường: Nếu lô đất của bạn là lô góc (tiếp giáp 2 mặt đường trở lên), mật độ xây dựng có thể được tăng thêm 5% (nhưng không vượt quá 100% diện tích lô đất). Đây là một lợi thế lớn giúp tăng giá trị bất động sản.
Ví dụ thực tế về cách tính mật độ xây dựng
Để giúp bạn hình dung rõ hơn khi áp dụng vào báo giá xây nhà trọn gói và lên dự toán, hãy xem xét các tình huống thực tế sau mà Xây Dựng Kim Anh thường xử lý:
Trường hợp 1: Nhà phố nội thành chuẩn
-
Đất: 5m x 20m = 100m².
-
Quy định: Mật độ tối đa 80%.
-
Thực tế: Gia chủ được xây 80m² (ví dụ 5m x 16m). Phần sân sau chừa 4m làm giếng trời và sân phơi.
-
Kết luận: Mật độ xây dựng đúng 80%, hợp lệ.
Trường hợp 2: Nhà có lỗ thông tầng lớn
-
Đất: 100m².
-
Thiết kế: Xây dựng bao che hết 100m², nhưng ở giữa nhà khoét một lỗ thông tầng rộng 20m² xuyên suốt từ mái xuống trệt, bên dưới làm hồ tiểu cảnh cố định.
-
Cách tính: Theo quy định mới, nếu lỗ thông tầng được thiết kế kiên cố và có chức năng kiến trúc rõ ràng (không có sàn che phủ), diện tích này có thể được trừ ra khỏi diện tích xây dựng (tùy cách giải trình với cơ quan cấp phép). Tuy nhiên, an toàn nhất vẫn là tính diện tích hình chiếu mái. Trong trường hợp này, nếu mái che kín 100m² thì mật độ là 100% (sai quy định). Phải chừa sân trời không có mái che.
Trường hợp 3: Lô đất góc ngã ba
-
Đất: 85m² tại quận Tân Bình (nội thành).
-
Nội suy cơ bản: Khoảng 85-86%.
-
Ưu đãi: Do tiếp giáp 2 mặt đường, lô đất được cộng thêm 5% mật độ.
-
Kết quả: Có thể xây dựng lên tới ~90-91% diện tích đất, giúp tối ưu hóa không gian kinh doanh hoặc sinh hoạt.
Chiều cao công trình và hệ số sử dụng đất
Ngoài mật độ xây dựng, hai chỉ số này cũng ảnh hưởng trực tiếp đến quy mô ngôi nhà của bạn.
Chiều cao công trình
Chiều cao được tính từ cao độ mặt đất theo quy hoạch đến điểm cao nhất của công trình (kể cả tum hoặc mái dốc).
-
Không tính: Các thiết bị kỹ thuật như ăng-ten, cột thu sét, bồn nước, ống khói.
-
Quy định: Chiều cao phụ thuộc vào lộ giới đường. Đường càng rộng, nhà được xây càng cao.
-
Lộ giới < 7m: Thường tối đa 3-4 tầng.
-
Lộ giới > 20m: Có thể xây cao hơn (5-7 tầng hoặc hơn tùy quy hoạch chi tiết 1/500).
-
Hệ số sử dụng đất (FAR)
Đây là tỷ lệ giữa tổng diện tích sàn của toàn bộ công trình (tất cả các tầng cộng lại) trên tổng diện tích lô đất.
-
Công thức:

-
Ví dụ: Lô đất 100m², xây 4 tầng, mỗi tầng 80m². Tổng sàn = 320m². Hệ số sử dụng đất = 3.2.
-
Mối liên hệ: Mật độ xây dựng kiểm soát độ "đặc" của công trình trên mặt đất, còn hệ số sử dụng đất kiểm soát tổng khối lượng công trình trong không gian.
Lưu ý quan trọng: Những phần không tính vào mật độ
Để tận dụng tối đa không gian mà không vi phạm mật độ xây dựng, bạn cần biết những bộ phận kiến trúc nào không tính vào diện tích chiếm đất:
-
Sê-nô, ô-văng, mái đua, mái đón: Nếu không có cột đỡ và vươn ra trong giới hạn cho phép của lộ giới.
-
Bậc lên xuống, tam cấp: Phần nối từ sân lên sảnh chính.
-
Hành lang cầu: Nếu phục vụ thoát hiểm và không cản trở lưu thông.
-
Tầng hầm: Nếu nằm hoàn toàn dưới đất (tùy địa phương, tại TP.HCM tầng hầm thường không tính vào hệ số sử dụng đất nhưng diện tích lối xuống hầm có thể ảnh hưởng đến mật độ tầng trệt).
-
Tầng lửng: Không tính vào số tầng nếu diện tích sàn lửng ≤ 65% diện tích sàn tầng ngay bên dưới.
-
Tầng tum: Không tính vào số tầng nếu diện tích ≤ 30% diện tích sàn mái và chỉ dùng để che buồng thang, máy móc.
Thủ tục xin giấy phép xây dựng và xử lý vi phạm
Hồ sơ xin phép cần chuẩn bị
Khi nộp hồ sơ xin phép xây dựng tại UBND Quận/Huyện, bản vẽ thiết kế bắt buộc phải thể hiện rõ:
-
Bảng thống kê diện tích xây dựng, mật độ xây dựng.
-
Sơ đồ vị trí công trình trên lô đất.
-
Khoảng lùi trước, sau và các bên (nếu có).
Hậu quả khi vi phạm mật độ
Việc cố tình xây lố mật độ (ví dụ được xây 80m² mà xây 90m²) sẽ dẫn đến:
-
Không được hoàn công: Đây là rắc rối lớn nhất. Bạn sẽ không thể cập nhật tài sản nhà lên sổ hồng.
-
Phạt hành chính: Mức phạt từ hàng chục đến hàng trăm triệu đồng tùy quy mô.
-
Cưỡng chế tháo dỡ: Buộc đập bỏ phần xây dư, gây lãng phí vật tư nhân công và ảnh hưởng kết cấu nhà.
Do đó, việc tìm kiếm một đơn vị tư vấn thiết kế và thi công am hiểu luật như Xây Dựng Kim Anh là cực kỳ quan trọng để đảm bảo an toàn pháp lý ngay từ đầu.
Một số quy định quan trọng khi xây dựng công trình
Ngoài mật độ xây dựng, khi xây dựng công trình, Quý khách cần tuân thủ một số quy định quan trọng khác để đảm bảo công trình hợp pháp và an toàn.
1. Quy định về chiều cao công trình:
- Chiều cao tối đa của công trình phụ thuộc vào quy hoạch khu vực và lộ giới đường.
- Thông thường, chiều cao công trình được giới hạn trong khoảng từ 3 đến 5 tầng đối với nhà ở riêng lẻ.
- Đối với công trình cao tầng, cần tuân thủ quy định về khoảng lùi, mật độ xây dựng, hệ số sử dụng đất...
2. Quy định về khoảng lùi:
- Khoảng lùi là khoảng cách tối thiểu từ công trình đến ranh giới đất, đường giao thông, công trình lân cận...
- Khoảng lùi giúp đảm bảo an toàn phòng cháy chữa cháy, thông gió, chiếu sáng và tạo không gian sống thoáng đãng.
3. Quy định về hệ số sử dụng đất:
- Hệ số sử dụng đất là tỷ lệ giữa tổng diện tích sàn xây dựng và diện tích khu đất.
- Hệ số sử dụng đất cho biết mức độ khai thác đất cho phép, ảnh hưởng đến mật độ dân số và hạ tầng đô thị.
4. Quy định về kiến trúc:
- Kiến trúc công trình phải phù hợp với quy hoạch chung của khu vực, không làm ảnh hưởng đến cảnh quan đô thị.
- Màu sắc, hình thức kiến trúc cần hài hòa với môi trường xung quanh.
5. Quy định về an toàn:
- Công trình phải đảm bảo an toàn về kết cấu, phòng cháy chữa cháy, vệ sinh môi trường...
- Cần sử dụng vật liệu xây dựng đạt tiêu chuẩn chất lượng.
6. Quy định về thủ tục pháp lý:
- Trước khi xây dựng, Quý khách cần hoàn thiện các thủ tục xin phép xây dựng theo quy định.
- Hồ sơ xin phép bao gồm các bản vẽ thiết kế, giấy tờ chứng minh quyền sử dụng đất...
Việc nắm rõ các quy định này giúp Quý khách xây dựng công trình đúng pháp luật, đảm bảo an toàn và góp phần tạo nên một đô thị văn minh, hiện đại.
Câu hỏi thường gặp (FAQ)
1. Sân thượng có mái che có tính vào mật độ xây dựng không?
Trả lời: Có. Nếu sân thượng có mái che kiên cố, phần diện tích đó được tính là diện tích xây dựng và tính vào mật độ. Nếu dùng giàn hoa, lam bê tông thưa (độ rỗng >50%) thì thường không tính.
2. Tầng hầm có tính vào mật độ xây dựng không?
Trả lời: Về mặt kỹ thuật, mật độ xây dựng tính theo diện tích chiếm đất (hình chiếu bằng). Do đó, nếu tầng hầm nằm gọn dưới phần thân nhà thì không làm tăng mật độ. Nếu hầm rộng hơn nhà (phần nổi làm sân vườn) thì phần hầm mở rộng đó có thể bị xem xét tùy quy hoạch địa phương.
3. Làm thế nào để kiểm tra mật độ quy hoạch của lô đất tôi định mua?
Trả lời: Bạn nên mang sổ đỏ photo đến Phòng Quản lý Đô thị quận/huyện nơi có đất để xin thông tin quy hoạch (Chứng chỉ quy hoạch). Đây là cách chính xác nhất.
4. Có thể xin tăng mật độ xây dựng được không?
Trả lời: Về cơ bản là KHÔNG. Mật độ xây dựng là chỉ tiêu quy hoạch bắt buộc. Trừ khi có sự thay đổi về quy hoạch chung của cả khu vực hoặc bạn chứng minh được sai sót trong bản đồ quy hoạch cũ.
5. Diện tích đất 40m² có được xây hết 100% không?
Trả lời: Có. Theo QCVN 01:2021/BXD, lô đất dưới 50m² có thể được xây dựng mật độ 100% nếu tuân thủ các quy định về lộ giới và chiều cao.
Hiểu rõ về mật độ xây dựng là bước đầu tiên và quan trọng nhất để kiến tạo nên ngôi nhà mơ ước một cách an toàn và bền vững. Hy vọng bài viết trên đã cung cấp cho bạn cái nhìn toàn diện và chi tiết nhất.
Nếu bạn đang băn khoăn về cách tính toán cho lô đất của mình hoặc cần hỗ trợ thủ tục xin phép, thiết kế thi công trọn gói, hãy liên hệ ngay với Xây Dựng Kim Anh. Chúng tôi cam kết mang đến giải pháp tối ưu nhất về công năng và pháp lý cho ngôi nhà của bạn.
CÔNG TY TNHH TƯ VẤN THIẾT KẾ XÂY DỰNG KIM ANH
-
Địa chỉ: 98/5 Nguyễn Thị Đẹt, Ấp 25, Xã Đông Thạnh, TP Hồ Chí Minh
-
Hotline/Zalo: 0974 776 305 – 0966 289 559 – 0987 244 305
-
Email: xaydungkimanh@gmail.com
-
Website: www.xaydungkimanh.com